WilliamHill官网

  • 学校主页
  • ENGLISH
  • 研究机构
  • 学生
  • 教职工
  • 考生
  • 首页
  • 威廉概况
    • 学院简介
    • 院长致辞
    • 组织结构
    • 现任领导
    • 历任领导
    • 联系我们
  • 教育团队
    • 行政管理系
    • 城市管理系
    • 土地管理系
    • 博士后
    • 行政人员
    • 诚聘英才
  • 招生教学
    • 本科生
    • 研究生
    • 公共管理硕士(MPA)
    • 咨询培训
  • 学术研究
    • 研究机构
    • 学术要闻
    • 学术动态
    • 科研通知
    • 研究项目
    • 讲座信息
  • 对外交流
    • 外事新闻
    • 外事通知
    • 交流项目
    • 申请指南
  • 党群行政
    • 党政要闻
    • 党政通知
    • 学院工会
    • 工作流程
    • 学院简报
    • 媒体看学院
    • 师生权益反映渠道
  • 风晓学工
    • 组织架构
    • 学工要闻
    • 工作制度
    • 学生组织
    • 学子风采
    • 风晓通知
    • 公示平台
  • 威廉希尔
    • 专题专栏
    • 项目申报
    • 教学资料下载
    • 常用文件下载
  • 廿年院庆
    • 二十周年
    • 院友之家

招生教学

  • 本科生
    • 招生信息
    • 教务信息
    • 培养新闻
    • 培养方案
    • 规章制度
    • 文件下载
    • 教学课表
  • 研究生
    • 招生信息
    • 教务信息
    • 培养新闻
    • 培养方案
    • 规章制度
    • 文件下载
    • 教学课表
  • 公共管理硕士(MPA)
    • 招生信息
    • 教务信息
    • 培养新闻
    • 培养方案
    • 规章制度
    • 文件下载
    • 教学课表
  • 咨询培训
    • 新闻动态
    • 培训通知
    • 咨询服务

招生信息

当前位置: 首页 > 招生教学 > 公共管理硕士(MPA… > 招生信息 > 正文

WilliamHill威廉希尔2021年MPA(专业型)复试名单

作者:  来源:  时间:2021-03-23 09:50:06  点击:次


2021年MPA复试名单第1页

2021年MPA复试名单第2页

2021年MPA复试名单第3页

2021年MPA复试名单第4页

2021年MPA复试名单第5页

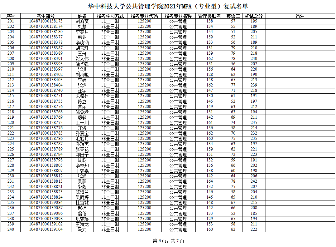
2021年MPA复试名单第6页

2021年MPA复试名单第7页


Copyright©WilliamHill·威廉希尔(CHN中文·VIP)官方网站-Ultra Platform 版权所有 

地址:湖北省武汉市洪山区珞喻路1037号WilliamHill威廉希尔 邮编:430074

联系邮箱:hujie@hust.edu.cn

院办:027-87543047 MPA:027-87556744 

=====学院研究机构=====
  • 非传统安全研究中心
  • 国土资源与不动产研究中心
  • 舆情信息研究中心
  • 现代领导科学与艺术研究中心
  • 东盟研究中心
  • 电子政务研究中心
  • 科技政策与科技管理研究中心
  • 社会组织评估研究中心
  • 人力资源管理研究中心
  • 湖北省反腐倡廉理论研究基地·武汉市预防职务犯罪研究中心
=====常用网站链接=====
  • 中国天气网
  • 中国行政管理学会
  • 中国政府网
  • 湖北决策咨询网
  • 全国哲学社会科学规划办公室
  • 教育部学位与研究生教育发展中心
=====公管院校链接=====
  • SIPAatCU
  • ASU'sDecisionTheater
  • MaxwellatSYR
  • HKSatHarvard
  • 东北大学文法学院
  • 北京科技大学文法学院